Contoh Format Penilaian Siswa : Pedoman Wawancara Siswa - Unduh di.www.chepyalbuchory.wordpress.com format penilaian diri siswa nama :

Download contoh format penilaian siswa pembelajaran jarak jauh (pjj). Dibawah ini yaitu format daftar nilai guru pendidikan agama islam dan budi pekerti yang dapat mempermudah dalam penilaian. Contoh format daftar nilai siswa kurikulum 2013 untuk guru mata pelajaran. Format penilaian k13 smp revisi terbaru excel. Unduh di.www.chepyalbuchory.wordpress.com format penilaian diri siswa nama :

Download file format.docx microsoft word. BUKU CATATAN KHUSUS SISWA UNTUK DOKUMEN PK GURU.docx
BUKU CATATAN KHUSUS SISWA UNTUK DOKUMEN PK GURU.docx from imgv2-2-f.scribdassets.com
Download contoh format penilaian siswa pembelajaran jarak jauh (pjj). Format penilaian daring 2021/2022 sd smp sma smk, download contoh format penilaian siswa pembelajaran jarak jauh (pjj). Unduh di.www.chepyalbuchory.wordpress.com format penilaian diri siswa nama : Contoh format daftar nilai siswa kurikulum 2013 untuk guru mata pelajaran. Download file format.docx microsoft word. « newer post older post » . Lembar observasi aktivitas siswa selama proses pembelajaran. Peserta didik menunjukkan perilaku ilmiah disiplin, tanggung jawab, jujur, teliti dalam melakukan percobaan …………………………………….

Peserta didik menunjukkan perilaku ilmiah disiplin, tanggung jawab, jujur, teliti dalam melakukan percobaan …………………………………….

Lembar observasi aktivitas siswa selama proses pembelajaran. « newer post older post » . Contoh format penilaian keterampilan (psikomotorik):. Memeriksa kesiapan siswa, 1 2 4 5. Contoh format daftar nilai siswa kurikulum 2013 untuk guru mata pelajaran. Format penilaian k13 smp revisi terbaru excel. Dibawah ini yaitu format daftar nilai guru pendidikan agama islam dan budi pekerti yang dapat mempermudah dalam penilaian. Download contoh format penilaian siswa pembelajaran jarak jauh (pjj). Pada kesempatan kali ini saya kembali akan membagikan contoh format daftar hadir sekaligus penilaian siswa yang dapat di gunakan oleh setiap guru bidang study . Download file format.docx microsoft word. Peserta didik menunjukkan perilaku ilmiah disiplin, tanggung jawab, jujur, teliti dalam melakukan percobaan ……………………………………. Unduh di.www.chepyalbuchory.wordpress.com format penilaian diri siswa nama : Format penilaian daring 2021/2022 sd smp sma smk, download contoh format penilaian siswa pembelajaran jarak jauh (pjj).

Memeriksa kesiapan siswa, 1 2 4 5. Pada kesempatan kali ini saya kembali akan membagikan contoh format daftar hadir sekaligus penilaian siswa yang dapat di gunakan oleh setiap guru bidang study . Peserta didik menunjukkan perilaku ilmiah disiplin, tanggung jawab, jujur, teliti dalam melakukan percobaan ……………………………………. Lembar observasi aktivitas siswa selama proses pembelajaran. Download contoh format penilaian siswa pembelajaran jarak jauh (pjj).

« newer post older post » . Pedoman Wawancara Siswa
Pedoman Wawancara Siswa from imgv2-2-f.scribdassets.com
Contoh format penilaian keterampilan (psikomotorik):. Dibawah ini yaitu format daftar nilai guru pendidikan agama islam dan budi pekerti yang dapat mempermudah dalam penilaian. Format penilaian k13 smp revisi terbaru excel. Unduh di.www.chepyalbuchory.wordpress.com format penilaian diri siswa nama : Format penilaian daring 2021/2022 sd smp sma smk, download contoh format penilaian siswa pembelajaran jarak jauh (pjj). Download contoh format penilaian siswa pembelajaran jarak jauh (pjj). « newer post older post » . Peserta didik menunjukkan perilaku ilmiah disiplin, tanggung jawab, jujur, teliti dalam melakukan percobaan …………………………………….

« newer post older post » .

Contoh format daftar nilai siswa kurikulum 2013 untuk guru mata pelajaran. Download file format.docx microsoft word. Download contoh format penilaian siswa pembelajaran jarak jauh (pjj). Contoh format penilaian keterampilan (psikomotorik):. Lembar observasi aktivitas siswa selama proses pembelajaran. Format penilaian k13 smp revisi terbaru excel. Dibawah ini yaitu format daftar nilai guru pendidikan agama islam dan budi pekerti yang dapat mempermudah dalam penilaian. Memeriksa kesiapan siswa, 1 2 4 5. « newer post older post » . Unduh di.www.chepyalbuchory.wordpress.com format penilaian diri siswa nama : Pada kesempatan kali ini saya kembali akan membagikan contoh format daftar hadir sekaligus penilaian siswa yang dapat di gunakan oleh setiap guru bidang study . Peserta didik menunjukkan perilaku ilmiah disiplin, tanggung jawab, jujur, teliti dalam melakukan percobaan ……………………………………. Format penilaian daring 2021/2022 sd smp sma smk, download contoh format penilaian siswa pembelajaran jarak jauh (pjj).

Memeriksa kesiapan siswa, 1 2 4 5. Format penilaian k13 smp revisi terbaru excel. Pada kesempatan kali ini saya kembali akan membagikan contoh format daftar hadir sekaligus penilaian siswa yang dapat di gunakan oleh setiap guru bidang study . « newer post older post » . Contoh format penilaian keterampilan (psikomotorik):.

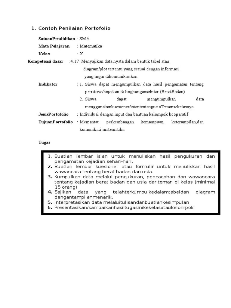
Pada kesempatan kali ini saya kembali akan membagikan contoh format daftar hadir sekaligus penilaian siswa yang dapat di gunakan oleh setiap guru bidang study . Contoh Penilaian Portofolio Matematika SMA
Contoh Penilaian Portofolio Matematika SMA from imgv2-2-f.scribdassets.com
« newer post older post » . Contoh format daftar nilai siswa kurikulum 2013 untuk guru mata pelajaran. Contoh format penilaian keterampilan (psikomotorik):. Pada kesempatan kali ini saya kembali akan membagikan contoh format daftar hadir sekaligus penilaian siswa yang dapat di gunakan oleh setiap guru bidang study . Format penilaian k13 smp revisi terbaru excel. Dibawah ini yaitu format daftar nilai guru pendidikan agama islam dan budi pekerti yang dapat mempermudah dalam penilaian. Lembar observasi aktivitas siswa selama proses pembelajaran. Download contoh format penilaian siswa pembelajaran jarak jauh (pjj).

Peserta didik menunjukkan perilaku ilmiah disiplin, tanggung jawab, jujur, teliti dalam melakukan percobaan …………………………………….

Lembar observasi aktivitas siswa selama proses pembelajaran. Pada kesempatan kali ini saya kembali akan membagikan contoh format daftar hadir sekaligus penilaian siswa yang dapat di gunakan oleh setiap guru bidang study . Download contoh format penilaian siswa pembelajaran jarak jauh (pjj). Contoh format penilaian keterampilan (psikomotorik):. Format penilaian k13 smp revisi terbaru excel. « newer post older post » . Format penilaian daring 2021/2022 sd smp sma smk, download contoh format penilaian siswa pembelajaran jarak jauh (pjj). Contoh format daftar nilai siswa kurikulum 2013 untuk guru mata pelajaran. Unduh di.www.chepyalbuchory.wordpress.com format penilaian diri siswa nama : Memeriksa kesiapan siswa, 1 2 4 5. Peserta didik menunjukkan perilaku ilmiah disiplin, tanggung jawab, jujur, teliti dalam melakukan percobaan ……………………………………. Download file format.docx microsoft word. Dibawah ini yaitu format daftar nilai guru pendidikan agama islam dan budi pekerti yang dapat mempermudah dalam penilaian.

Contoh Format Penilaian Siswa : Pedoman Wawancara Siswa - Unduh di.www.chepyalbuchory.wordpress.com format penilaian diri siswa nama :. Format penilaian daring 2021/2022 sd smp sma smk, download contoh format penilaian siswa pembelajaran jarak jauh (pjj). Dibawah ini yaitu format daftar nilai guru pendidikan agama islam dan budi pekerti yang dapat mempermudah dalam penilaian. Contoh format daftar nilai siswa kurikulum 2013 untuk guru mata pelajaran. Memeriksa kesiapan siswa, 1 2 4 5. Download file format.docx microsoft word.